Bislang gibt es nur wenige belastbare Studienergebnisse zu dem Risiko von COVID-19 bei Menschen mit Diabetes und dem Verlauf der Erkrankung. Einige aktuelle Studien geben erste Hinweise, wie eine Analyse von Prof. Bernhard Kulzer zeigt.
Die WHO warnt vor höheren Komplikationsraten bei Diabetes-Patienten mit einer COVID-19-Infektion und das Robert-Koch-Institut ergänzt, dass dies für ältere Patienten und für solche mit Folgeerkrankungen gilt. Dies vor dem Hintergrund von Befunden, dass das allgemeine Immunsystem bei diesem Personenkreis geschwächt ist, insbesondere aber auch das orale Immunsystem, da die Mundhöhle die wichtigste Eintrittspforte für das Virus SARS-CoV-2 darstellt. Die Empfehlung fußt auch auf Befunden, dass Diabetes bei der pandemischen Influenza A 2009 (H1N1), dem Coronavirus des schweren akuten respiratorischen Syndroms (SARS) und dem auf das respiratorische Syndrom des Nahen Ostens bezogenen Coronavirus (MERSCoV) ein wichtiger Risikofaktor für die Mortalität darstellte.
Die DDG weist in ihrer Stellungnahme auf eine mögliche Beziehung zwischen einer Coronavirus-Infektion, ACE2-Expression und dem Glukosestoffwechsel hin. Dies vor dem Hintergrund, dass offensichtlich das Coronavirus den ACE2-Rezeptor für den Zelleintritt nutzt. Allerdings weist die DDG in ihrer Stellungnahme darauf hin, dass es bislang noch keine klinischen Daten zu dem Zusammenhang COVID-19 und Diabetes gibt. Erste Studienergebnisse aus China und Italien, zwei Epizentren der COVID-19-Pandemie liegen inzwischen vor.
Erste Ergebnisse aus Wuhan
Bislang gibt es einige wissenschaftliche Publikationen aus dem chinesischen Wuhan, wo anscheinend die mittlerweile globale Pandemie ihren Ursprung nahm. Diese Studien ergeben erste Anhaltspunkte, lassen jedoch, wie Villabona (2020) zu Recht bemängelt, viele Fragen noch offen, so dass aus diesen Studien nur eingeschränkt klinische Schlussfolgerungen gezogen werden können.
- In der ersten Publikation von Deng et al. (2020) bei 140 COVID-19-Patienten wurde Diabetes nicht als spezieller Risikofaktor aufgeführt.
- Allerdings zeigte die Auswertung einer anderen Gruppe von COVID-19-Patienten ein gegenteiliges Resultat. Eine Muticenter-Studie des Jin-Yin-tan-Hospital und Tongji-Hospital aus Wuhan (Ruan et al. 2020) untersuchte 68 tote und 82 geheilte Patienten und kam zu der Schlussfolgerung, dass bei den Patienten mit tödlichem Ausgang öfter chronische Komorbiditäten wie z.B. Diabetes vorlag und sich die beiden Gruppen signifikant in Hinblick auf die Anzahl der weißen Blutkörperchen, den absoluten Werten von Lymphozyten, Thrombozyten, Albumin, Gesamtbilirubin, Blut-Harnstoff-Stickstoff, Blut-Kreatinin, Myoglobin, Herz-Troponin, C-reaktivem Protein (CRP) und Interleukin-6 (IL-6) unterschieden.
- Eine Auswertung von insgesamt 72.314 COVID-19-Fällen in China (Wu et al., 2020) ergab eine Sterblichkeitsrate von 2,3% (1023 Todesfälle bei 44.672 bestätigten Fällen). Die Sterblichkeit war bei Personen mit bereits bestehenden komorbiden Erkrankungen erhöht: 10,5% bei Herz-Kreislauf-Erkrankungen, 7,3% bei Diabetes, 6,3% bei chronischen Atemwegserkrankungen, 6,0% bei Bluthochdruck und 5,6% bei Krebs. Unter den 44.672 Fällen waren insgesamt 1716 Beschäftigte des Gesundheitswesens (3,8%).
- Guo et al. (2020) berichteten über ein Patientenkollektiv von 174 an COVID-19 erkrankten Personen, die zwischen dem 10.2. und 29.2.2020 im Wuhan-Union-Krankenhaus behandelt wurden. Die Analyse von 24 Diabetespatienten, die keine andere Komorbidität außer Diabetes aufwiesen, unterstützt die Hypothese, dass Diabetes ein Risikofaktor für ein rasches Fortschreiten und eine schlechte Prognose von COVID-19 ist. Patienten mit Diabetes wiesen ein höheres Risiko für eine schwere Lungenentzündung, die Freisetzung von Enzymen, die mit der Gewebsverletzung in Zusammenhang stehen, erhöhte Entzündungsreaktionen und eine Entgleisung des Glukosestoffwechsels auf. Darüber hinaus waren die Serumspiegel entzündungsbedingter Biomarker wie z.B. IL-6, C-reaktives Protein, Serumferritin bei Diabetespatienten signifikant höher als bei Patienten ohne Diabetes, was darauf hindeutet, dass Patienten mit Diabetes anscheinend für einen „Entzündungssturm des COVID-Virus“ anfälliger sind, der schließlich zu einer raschen Verschlechterung der Erkrankung führt.
Metaanalyse der bisherigen Daten zu COVID-19 und Diabetes
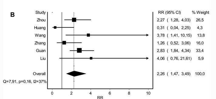
Eine kürzlich veröffentlichte Metaanalyse von Fadini et al. (2020) über alle bisherigen 12 publizierten Studien aus China ergab, dass Diabetes anscheinend nicht generell mit einem erhöhten Risiko für eine COVID-19-Infektion assoziiert ist. Abbildung 1 zeigt, dass die Ergebnisse sehr widersprüchlich sind und insgesamt keine deutliche Beziehung aufzufinden ist.

Allerdings ändert sich das Bild bei Betrachtung der schweren Verläufe aus 6 Studien: Das gepoolte Verhältnis von Diabetespatienten mit ungünstigem Krankheitsverlauf im Vergleich zu Patienten mit günstigerem Verlauf betrug 2,26 (95% CI 1,47-3,49).

Daten aus Italien
Die Ergebnisse aus China sind in Italien ähnlich. Im Universitätskrankenhaus von Padua, das sich im Zentrum des COVID-19-Ausbruches befand, hatten von 146 stationär behandelten Patienten mit bestätigter SARS-CoV-2-Infektion und einem Durchschnittsalter von 65,3 Jahren 13 Diabetes, was einer Prävalenz von 8,9% entspricht (95% CI 5,3-14,6). Zum Vergleich: Im Jahr 2018 betrug die Prävalenz von Diabetes in derselben Region bei Personen im Alter von 55-75 Jahren (Mittelwert 65 Jahre) 11,0%. Bei der geringen Stichprobe könnte dieses Ergebnis allerdings auch auf eine Untererfassung von Personen mit Diabetes, einen Zufall oder ein anderes medizinisches Phänomen zurückzuführen sein.
Hingegen betrug die Diabetesprävalenz bei 355 verstorbenen Patienten in Padua mit verfügbaren Informationen über diese Komorbidität 35,5%, während 2018 unter italienischen Staatsbürgern die Diabetesprävalenz mit derselben Alters- und Geschlechtsverteilung bei 20,3% lag. Damit starben um den Faktor 1,75 mehr Patienten mit Diabetes im Vergleich zur Allgemeinbevölkerung an einer SARS-CoV-2-Infektion.
- Villabona CV. Commentary: COVID-19 and diabetes [published online ahead of print, 2020 Apr 6]. Diabetes Res Clin Pract. 2020;162:108138. doi:10.1016/j.diabres.2020.108138
- Deng S.Q., Peng H.J. Characteristics of and public health responses to the coronavirus disease 2019 outbreak in China. J Clin Med. 2020 Feb 20;(2):9. E575.
- Ruan, Q. K., Yang, W. Wang, L. Jiang, J. Song. Clinical predictors of mortality due to COVID-19 based on an analysis of data of 150 patients from Wuhan, China. Intensive Care Med (2020 Mar 3), 10.1007/s00134-020-05991-x
- Wu Z., McGoogan J.M. Characteristics of and important lessons from the coronavirus disease 2019 (COVID-19) outbreak in China: summary of a report of 72 314 cases from the Chinese center for disease control and prevention. J Am Med Assoc. 2020 Feb 24
- Guo, W, Li, M, Dong, Y, et al. Diabetes is a risk factor for the progression and prognosis of COVID‐19. Diabetes Metab Res Rev. 2020;e3319. https://doi.org/10.1002/dmrr.3319
- Fadini, G.P., Morieri, M.L., Longato, E. et al. Prevalence and impact of diabetes among people infected with SARS-CoV-2. J Endocrinol Invest (2020). https://doi.org/10.1007/s40618-020-01236-2
|
|

