Im Gehirn von adipösen Menschen ist die Gewinnung von Energie aus Glukose stark vermindert. Das konnten Wissenschaftlerinnen und Wissenschaftler der Sektion für Psychoneurobiologie im Center of Brain, Behavior and Metabolism (CBBM) der Universität zu Lübeck in einer human-experimentellen Studie zeigen, deren Ergebnisse jetzt im Fachjournal Metabolism veröffentlicht wurden. Die gestörte Energiegewinnung des Gehirns könnte eine Erklärung für das häufig fehlende Sättigungsgefühl Übergewichtiger sein.
Nachhaltige Wirksamkeit der gängigen Therapieprogramme nicht immer gegeben
Übergewicht betrifft laut aktueller Schätzungen weltweit ca. 2,2 Milliarden Erwachsene, davon leiden 650 Millionen an dessen Extremform – der Adipositas. In der Altersgruppe zwischen fünf und 19 Jahren betrifft Übergewicht gemäß Weltgesundheitsorganisation (WHO) 340 Millionen und im Alter unter fünf Jahren noch 41 Millionen Kinder. Allein in Deutschland beläuft sich die Zahl auf ca. 60 Prozent der Bevölkerung, mittlerweile mehr Männer als Frauen.
Gängige Therapieprogramme zur Gewichtsreduktion basieren auf Diätplänen, Ernährungsumstellung, Kalorienrechnern, Sportprogrammen etc. und sind nach aktuellem Kenntnisstand nicht nachhaltig wirksam. Langfristig führen sie in der überwiegenden Zahl der Fälle zur Wiederzunahme des Gewichts, häufig sogar noch über die Ausgangssituation hinaus (sog. Jojo-Effekt). Die Zahl Übergewichtiger steigt daher kontinuierlich weiter an.
Reduzierter Energiestatus im Gehirn
Einen Erklärungsansatz für diese Entwicklung sehen Forscher in einer Störung der Energiehomöostase im Gehirn. Das Team um Prof. Kerstin Oltmanns konnte bereits 2010 nachweisen, dass es einen Zusammenhang zwischen steigendem Körpergewicht und reduziertem Energiegehalt im menschlichen Gehirn gibt. Die Ursache des erniedrigten Energiestatus war völlig unklar. Man wusste nur, dass ein hoher zerebraler Energiegehalt Sättigungsgefühle auslöst. Übergewichtige berichten wiederum oft, dass sie Sättigung nicht wahrnehmen.
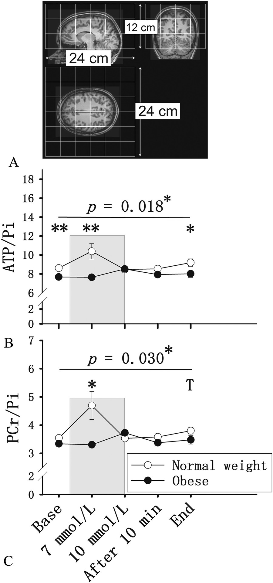
Eine interdisziplinäre Arbeitsgruppe der Lübecker Sektion für Psychoneurobiologie hat nun unter der Leitung der Diplom-Psychologin Ewelina K. Wardzinski und Prof. Oltmanns in einer aktuellen Studie bei adipösen und normalgewichtigen Männern mittels intravenöser Glukoseinfusion den Blutzuckergehalt – und damit die Zuckerzufuhr für die Energiegewinnung im Gehirn – experimentell erhöht und Veränderungen im Energiestatus des Gehirns untersucht. Dies erfolgte mittels 31P-Magnetresonanz-Spektroskopie, einer Methode, über die nur sehr wenige Forschungszentren weltweit verfügen.
Bei der normalgewichtigen Gruppe stieg der Hirnenergiegehalt nach der Glukosegabe sofort an, während sich bei den adipösen Studienteilnehmern keine Veränderung zeigte. Erst nach einer starken Anhebung des Blutzuckers durch die Infusion erfolgte ein geringer Anstieg auch im Gehirn der übergewichtigen Studienteilnehmer.
Übergewicht als psychoneurobiologische Störung?
„Die Ergebnisse dieser Studie zeigen, dass bei Übergewichtigen eine Störung der Energiegewinnung im Gehirn vorliegt“, erläutert Psychologin Wardzinski. „Möglicherweise erklärt diese Störung den chronisch reduzierten zerebralen Energiestatus bei den Betroffenen und auch, warum Übergewichtige oft kein Sättigungsgefühl spüren. Dann hungert das Gehirn gewissermaßen.“
Interessanterweise finden sich hinsichtlich des erniedrigten Hirn-Energielevels Parallelen zu psychischen Erkrankungen, welche Stimmung und Gefühle beeinträchtigen. Menschen mit einer Depression zeigen ebenfalls einen reduzierten Hirnenergiegehalt. Ähnlich wie bei psychischen Erkrankungen hat offenbar auch bei Übergewicht eine Verhaltenstherapie anstelle von Diätplänen Erfolg. Ein eigens für Übergewichtige entwickeltes verhaltenstherapeutisches Lernprogramm führt zu einer Verbesserung der Sättigungswahrnehmung, Reduktion der Nahrungsaufnahme und somit Gewichtsverlust, wie erste Zwischenergebnisse einer laufenden Studie zeigen. „Offenbar hängen Psyche, Hirnenergiestoffwechsel und Körpergewichtsregulation eng miteinander zusammen, was berücksichtigt werden muss, wenn man dauerhaft abnehmen will“, so Prof. Oltmanns.
Quelle: Pressemitteilung der Universität zu Lübeck
