Die Verlaufskontrolle der Therapie von Menschen mit Diabetes sowie die Diagnostik erfordern qualitativ ausreichend hochwertige Messverfahren zur Glukosebestimmung. Dabei kommen verschiede Messsysteme zum Einsatz [Pleus 2021]. Ungeachtet des spezifischen Messsystems vertreiben die Hersteller in der Regel auch Kontrolllösungen, mit denen die Messqualität des jeweiligen Systems überprüft werden kann. Bei Messsystemen zur Eigenanwendung sind üblicherweise Zielbereiche für die mit Kontrolllösung ermittelten Messwerte angegeben. Bei in-vitro-diagnostischen Messverfahren in der Heilkunde findet darüber hinaus die Richtlinie der Bundesärztekammer zur Qualitätssicherung laboratoriumsmedizinischer Untersuchungen (Rili-BÄK) Anwendung [Bundesärztekammer 2019, Bundesärztekammer 2023]. In ihr sind u. a. Anforderungen an die interne Qualitätssicherung definiert, einschließlich der zulässigen relativen Abweichung der Kontrollprobeneinzelmessung von dem vom Hersteller angegebenen Kontrolllösungszielwert. Am 30. Mai 2023 wurde die letzte Aktualisierung der Rili-BÄK veröffentlicht [Bundesärztekammer 2023]. In Bezug auf die Glukosemessung wurden die Anforderungen für die interne Qualitätskontrolle von ±11 % erlaubter Abweichung auf ±5% geändert. Diese Änderungen müssen spätestens nach einer Übergangsfrist von 3 Jahren, also ab Juni 2026, eingehalten werden.
Zusammenfassung
Einleitung: Beim Einsatz von Glukosemesssystemen in der Heilkunde findet die Richtlinie der Bundesärztekammer zur Qualitätssicherung laboratoriumsmedizinischer Untersuchungen (Rili-BÄK) Anwendung. Die Vorgaben für die interne und externe Qualitätskontrolle (QK) wurden 2023 angepasst. Diese Post-hoc-Analyse untersucht, ob Blutglukosemesssysteme mit Unit-Use-Reagenzien, die für den professionellen Einsatz zweckbestimmt sind, die aktualisierten Anforderungen an die interne QK erfüllen.Methodik: Mehrere Studien mit insgesamt 30 Systemen wurden zwischen März 2016 und Mai 2022 durchgeführt. Auf Kontrolllösungseinzelbestimmungsergebnisse wurden die bisherigen (±11 %) und die aktualisierten (±5 %) Abweichungsgrenzen für die interne QK angewendet. Je System wurden 1-3 Kontrolllösungsniveaus verwendet.
Ergebnisse: Die bisherigen Abweichungsgrenzen wurden durch 18 von 30 Systemen erfüllt, während nur 2 von 30 Systemen die aktualisierten Grenzen erfüllten. Bei manchen Systemen wurde eine Abhängigkeit von den verwendeten Kontrolllösungsniveaus festgestellt.
Schlussfolgerung: Die meisten untersuchten Blutglukosemesssysteme mit Unit-Use-Reagenzien hätten die aktualisierten Anforderungen der Rili-BÄK an die interne QK zum Zeitpunkt der Untersuchung nicht erfüllt. Gegebenenfalls müsste für einen weiteren Einsatz in der Heilkunde die Qualität einiger Systeme verbessert werden.
Schlüsselwörter
Glukosemessung, POCT, patientennahe Sofortdiagnostik, Rili-BÄK
Retrospective evaluation of internal quality control according to Rili-BÄK for POCT glucose measurement systems
Summary
Background: When using glucose analysers in the healthcare setting in Germany, the "Richtlinie der Bundesärztekammer zur Qualitätssicherung laboratoriumsmedizinischer Untersuchungen" (Rili-BÄK) has to be applied. It contains requirements regarding internal and external quality control (QC) and was revised in 2023. This post-hoc analysis assesses whether blood glucose monitoring systems with unit-use reagents, which are intended for professional use, comply with the revised requirements for internal QC.
Methods: Multiple studies with, in total, 30 systems were conducted between March 2016 and May 2022. The existing (±11 %) and revised (±5 %) maximum deviation limits for internal QC were applied to individual control solution measurement results. Depending on the specific system, 1 to 3 control solution levels were used.
Results: Overall, 18 out of 30 systems achieved compliance with the current deviation limit, whereas only 2 systems showed all results within the revised deviation limit. For some systems, the share of results within deviation limits depended on the used control solution level.
Conclusion: Most investigated blood glucose monitoring systems with unit-use reagents did not comply with the revised deviation limits for internal QC set by Rili-BÄK. The quality of some systems potentially has to be improved for a continued use in the healthcare setting. Keywords
glucose monitoring, POCT, point-of-care testing, Rili-BÄK
Damit Blutglukosemesssysteme im Rahmen der Heilkunde durch medizinisches Fachpersonal eingesetzt werden dürfen, müssen sie nicht nur für diesen Einsatzzweck durch den Hersteller bestimmt sein, sondern auch den Anforderungen der Rili-BÄK genügen.
Obwohl die Rili-BÄK in Bezug auf die Häufigkeit der Durchführung einer internen Qualitätskontrolle eine Sonderregelung für Messsysteme mit Unit-Use-Reagenzien vorsieht, die im Rahmen der patientennahen Sofortdiagnostik eingesetzt werden, gelten dieselben Abweichungsgrenzen bei der Bewertung der Kontrolllösungseinzelmessungen wie für andere Messsysteme: Es gilt nach Rili-BÄK, Tabelle B1-2a, Spalte 3, eine zulässige Abweichung von ±11 % [Bundesärztekammer 2019] (bzw. nach Ende der Übergangsfrist von ±5 %[Bundesärztekammer 2023]), wenn der Zielwert zwischen 40 und 400 mg/dl (2,2 und 22 mmol/l) liegt. Sofern Herstellergrenzen angegeben sind und diese weniger Abweichung erlauben, sind diese anzuwenden. Wenn diese Abweichungsgrenzen nicht erreicht werden, ist das Messverfahren für Patientenproben zu sperren.
Soweit verfügbar, sind Kontrollproben mit Zielwerten in mindestens zwei unterschiedlichen Konzentrationsbereichen zu verwenden. Dabei ist zu beachten, dass die oben genannte Sonderregelung nur dann gilt, wenn die Messsysteme mit Unit-Use-Reagenzien in der patientennahen Sofortdiagnostik eingesetzt werden, d. h. es müssen unmittelbar diagnostische oder therapeutische Konsequenzen aus der Bestimmung abgeleitet werden.
In einer kürzlich erschienenen Publikation betrachteten Kaiser et al. [Kaiser 2023] die Auswirkung der Anpassung der Akzeptanzkriterien auf zwei Laboranalysesysteme und ein Blutgassystem der patientennahen Sofortdiagnostik. Dabei wurde gezeigt, dass eine zulässige Abweichung von ±5 % bei der internen Qualitätskontrolle im Wesentlichen im Laboralltag eingehalten werden kann. Für Messsysteme mit Unit-Use-Reagenzien, d. h. bei denen die Reagenzeinheit mit einer Bestimmung verbraucht wird, waren dagegen keine Angaben zur internen Qualitätskontrolle enthalten.
Ziel der vorliegenden Post-Hoc-Analyse war die Untersuchung der Auswirkungen der aktualisierten Anforderungen an die interne Qualitätskontrolle auf Blutglukosemesssysteme (BGMS) mit Unit-Use-Reagenzien, die für den Einsatz durch medizinisches Fachpersonal zweckbestimmt sind.
RfB: Referenzinstitut für Bioanalytik
BGMS: Blutglukosemesssystem
Methodik
Daten von mehreren Studien, die zur Bewertung der Genauigkeit von Blutglukosemesssystemen durch das Institut für Diabetes-Technologie Forschungs- und Entwicklungsgesellschaft mbH an der Universität Ulm, Ulm, zwischen März 2016 und Mai 2022 durchgeführt wurden, wurden ausgewertet. Die hier untersuchten Systeme hatten eine Zweckbestimmung für den Einsatz durch medizinisches Fachpersonal und sollten daher auch die Anforderungen der Rili-BÄK erfüllen. Insgesamt kamen 30 verschiedene Systeme mit einer solchen Zweckbestimmung zum Einsatz, von denen 28 zusätzlich für die Selbstmessung durch Menschen mit Diabetes zweckbestimmt waren. Die anderen zwei waren ausschließlich für den Gebrauch durch medizinisches Fachpersonal vorgesehen. In den oben genannten Studien fanden versuchstäglich Messungen mit Hersteller-spezifischen Kontrolllösungen statt, um die Messfunktion der Systeme zu prüfen. Dabei wurden, je nach Verfügbarkeit, 1-3 Kontrolllösungsniveaus verwendet. Medizinisches Fachpersonal, das sich im Vorfeld mit dem Gebrauch der Systeme vertraut gemacht hatte, führte die Kontrolllösungsmessungen durch. Eine Bewertung der Übereinstimmung mit den Anforderungen der Rili-BÄK erfolgte in den betreffenden Studien nicht, da die Systeme nicht im Rahmen der Heilkunde eingesetzt wurden. Ausschlaggebend waren zum jeweiligen Studienzeitpunkt lediglich die vom jeweiligen Hersteller vorgegebenen Zielbereiche (Tab. 1).
Tab. 1: Charakteristika der untersuchten Systeme: Kontrolllösungsniveau, -zielwert und zielbereichsgrenzen nach Herstellerangaben. Das Präfix "POCT_" wird für die beiden Systeme verwendet, die ausschließlich durch medizinisches Fachpersonal eingesetzt werden sollen. Für die anderen Systeme wird das Präfix "Sys_" verwendet. Bei Systemen POCT_01, POCT_02 und Sys_30 wurden mehrere Reagenzchargen verwendet und die Zielwerte und/oder -bereiche waren nicht für alle Chargen identisch. Für Systeme Sys_06, Sys_13 und Sys_16 waren Zielwert und -bereich in mmol/l angegeben, für die anderen Systeme in mg/dl. Die Werte in der jeweils anderen Messeinheit wurden mittels Umrechnungsfaktor 18,018 aus der Originalangabe errechnet. a: Die Namen der Kontrolllösungsniveaus "Niedrig", "Mittel" und "Hoch" entsprechen nicht unbedingt den Herstellerangaben und wurden hier der Einheitlichkeit halber so vergeben. Meistens erfolgte die Benennung anhand der Glukosekonzentration (Niedrig: unter Normalbereich, Mittel: im Normalbereich, Hoch: über Normalbereich), sonst anhand der relativen Lage der Niveaus zueinander. k. A.: keine Angabe
Blutglukosemesssysteme
Insgesamt wurden 30 Systeme in diese Auswertung eingeschlossen. Tabelle 1 enthält Angaben zu den Systemen, den verwendeten Kontrolllösungsniveaus sowie deren Zielwerten und -bereichen, sofern vorhanden. Dabei wurden die Namen entfernt und durch Kürzel ersetzt: Das Präfix "POCT_" wird für die beiden Systeme verwendet, die ausschließlich durch medizinisches Fachpersonal eingesetzt werden sollen. Für die anderen Systeme wird das Präfix "Sys_" verwendet.
Ein Vergleich mit Ergebnissen des Ringversuchs GL1/24 ("Glukose ‚Naßchemie‘ und ‚Trockenchemie‘") des Referenzinstituts für Bioanalytik (RfB) ergab [Referenzinstitut für Bioanalytik 2024], dass mindestens 6, ggf. sogar 10 der Systeme auch am Ringversuch teilnahmen. Das deutet auf einen Einsatz in der Heilkunde hin. Die in der Ringversuchsauswertung aufgeführten Hersteller-/Gerätenamen waren jedoch teilweise nicht eindeutig den hier untersuchten Messsystemen zuzuordnen.
Datenaufbereitung und statistische Analyse
Die Messergebnisse der Kontrolllösungsmessungen wurden anhand ihrer Abweichung zum Zielwert der Hersteller-spezifischen Kontrolllösung beurteilt. Die Rili-BÄK fordert, dass Hersteller für Kontrollmessungen im Rahmen der internen Qualitätskontrolle einen Zielwert bereitstellen müssen. Das war allerdings nicht immer der Fall, teilweise wurden lediglich Zielbereichsgrenzen angegeben, was für die Blutglukoseselbstmessung angemessen ist. In diesen Situationen wurde der Mittelwert der oberen und der unteren Zielbereichsgrenze als Zielwert angenommen.
Anschließend wurden retrospektiv relative Abweichungen der Messergebnisse zum Kontrolllösungszielwert berechnet, um zu beurteilen, ob diese relativen Abweichungen innerhalb von ±11 % (alte Vorgaben [Bundesärztekammer 2019]) bzw. ±5 % (neue Vorgaben [Bundesärztekammer 2023]) liegen. Diese Analyse wurde einerseits für alle mit einem BGMS erhobenen Messergebnisse durchgeführt, d. h. unabhängig vom Kontrolllösungsniveau, andererseits nach den ggf. verschiedenen Kontrolllösungsniveaus eines BGMS getrennt.
Zudem wurde geschätzt, welche Abweichungsgrenzen die BGMS mit hoher Wahrscheinlichkeit erfüllen können bzw. mit geringem Risiko für die Sperrung des Messverfahrens verbunden sind. Als "geringes Risiko" wurde eine Auftretenswahrscheinlichkeit von maximal einem Fall in 52 Kontrolllösungsbestimmungen festgelegt, so dass ein System, das einmal wöchentlich geprüft wird, einmal im Jahr ein außerhalb dieser Grenzen liegendes Messergebnis erzielen würde. Um die Abschätzung zu vereinfachen, wurden die Messergebnisse aller Kontrolllösungsniveaus zusammengeführt. Anschließend wurde für jedes System ein reduzierter Datensatz ermittelt, indem die 1,92 % (=1/52) größten Abweichungen, abgerundet auf die nächstliegende ganze Zahl, ausgeschlossen wurden.
Es wurden nur solche Messergebnisse in die Auswertung eingeschlossen, die innerhalb des vom Hersteller angegebenen Kontrolllösungszielbereichs lagen. Eine Beurteilung, wie viele Messergebnisse in dem vom Hersteller angegebenen Zielbereich lagen, erfolgt daher hier nicht.
Ergebnisse
Zielwerte waren für die Kontrolllösungen in 17 von 30 Fällen durch den Hersteller spezifiziert. In den anderen Fällen waren nur Zielbereiche angegeben, aus denen ein Zielwert rechnerisch ermittelt wurde. Bei den 30 untersuchten Systemen beliefen sich die Abweichungsgrenzen auf ±10 % bis ±33 % des Zielwerts.
Abhängig vom eingesetzten System fanden zwischen 54 und 525 Einzelbestimmungen statt. Zwischen 67,2 % und 100 % der Messergebnisse der einzelnen Systeme lagen innerhalb der derzeit noch gültigen Rili-BÄK-Abweichungsgrenze von ±11 %. Diese Grenze wurde von 18 der 30 (60 %) Systeme mit 100 % der Messergebnisse erfüllt (Abb. 1). Bei der aktualisierten Abweichungsgrenze von ±5 % war das nur bei 2 Systemen (7 %) der Fall, der Anteil der Messergebnisse innerhalb dieser Abweichungsgrenze lag zwischen 13,8 % und 100 % (Abb. 1). Die Analyse der einzelnen Kontrolllösungsniveaus zeigte, dass der Anteil Messergebnisse innerhalb ±5 % bei Niveaus mit Zielwerten <80 mg/dl (4,4 mmol/l) oder >200 mg/dl (11,1 mmol/l) tendenziell geringer ausfiel (Abb. 2).
Abb. 1: Anteil der Messergebnisse innerhalb ±11 % (grau) bzw. ±5 % (grün) Abweichung vom Zielwert. Hierbei wurden die Einzelmessergebnisse von bis zu 3 Kontrolllösungsniveaus gepoolt. Sortierung der Systeme anhand des Anteils der Ergebnisse innerhalb ±5 % Abweichung vom Zielwert.
Abb. 2: Anteil der Messergebnisse der einzelnen Kontrolllösungsniveaus (blaue, orangefarbene bzw. lilafarbene Fläche für niedrige, mittlere bzw. hohe Konzentration) innerhalb ±11 % bzw. ±5 % (grauer bzw. grüner Rahmen) für die untersuchten Systeme, getrennt nach Kontrolllösungsniveau. Auf der x-Achse sind die durch den Hersteller zugewiesenen Glukosekonzentrationen angegeben, eine eventuelle Umrechnung zwischen mg/dl und mmol/l ist in Klammern angegeben. Sortierung der Systeme anhand des Anteils der Ergebnisse innerhalb ±5 % Abweichung vom Zielwert.
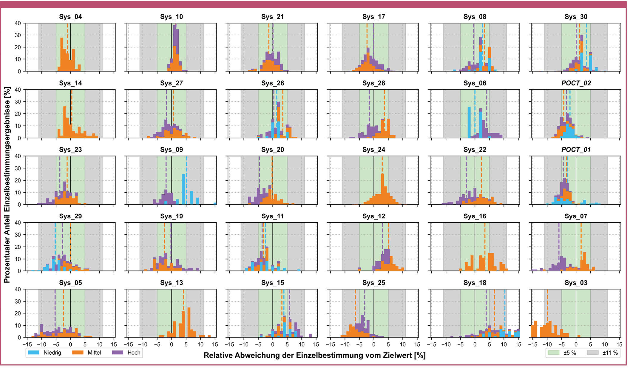
Die Verteilung der relativen Abweichungen der Einzelmessergebnisse deutet darauf hin, dass manche der untersuchten Systeme die Glukosekonzentration in Kontrolllösungen systematisch unter- oder überschätzen (Abb. 3). Diese systematische Messabweichung ist bei manchen Systemen konzentrationsabhängig unterschiedlich.
Abb. 3: Verteilung der relativen Abweichungen der Messergebnisse vom jeweiligen Zielwert der einzelnen Kontrolllösungsniveaus (blaue, orangefarbene bzw. lilafarbene Fläche für niedrige, mittlere bzw. hohe Konzentration) für die untersuchten Systeme. Vertikale, gestrichelte Linien geben jeweils den Mittelwert der Einzelergebnisse an. Die schwarze vertikale Linie gibt den Zielwert an. Die Balken bei -15 % bzw. +15 % schließen alle links bzw. rechts davon liegenden Abweichungen mit ein. Sortierung der Systeme anhand des Anteils Ergebnisse innerhalb ±5 % Abweichung vom Zielwert.
Der reduzierte Datensatz, der bei wöchentlicher interner Qualitätskontrolle ein durchschnittliches Risiko von einer Sperrung des Messverfahrens pro Jahr aufweist, zeigte Abweichungsgrenzen zwischen ±4,1 % und ±18,2 % (Abb. 4).
Abb. 4: Abweichungsbereich für den reduzierten Datensatz, der bei wöchentlicher interner Qualitätskontrolle ein durchschnittliches Risiko von einer Sperrung des Messverfahrens pro Jahr aufweist. Dieser Datensatz umfasst nur ca. 98,08 % (aufgerundet auf die nächstgrößere ganze Zahl) des vollständigen Datensatzes. Sortierung der Systeme anhand des Anteils Ergebnisse innerhalb ±5 % Abweichung vom Zielwert.
Diskussion
Damit Blutglukosemesssysteme im Rahmen der Heilkunde durch medizinisches Fachpersonal eingesetzt werden dürfen, müssen sie nicht nur für diesen Einsatzzweck durch den Hersteller bestimmt sein, sondern auch den Anforderungen der Rili-BÄK genügen. Es gilt nach der aktuellen Rili-BÄK [Bundesärztekammer 2023] noch bis zum Ende der Übergangsfrist eine zulässige Abweichung von ±11 % [Bundesärztekammer 2019] bzw. danach von ±5 % für die interne Qualitätskontrolle.
Diese Post-Hoc-Analyse wurde durchgeführt, um die Auswirkungen der aktualisierten Anforderungen an die interne Qualitätskontrolle auf Blutglukosemesssysteme mit Unit-Use-Reagenzien, die für den Einsatz durch medizinisches Fachpersonal bestimmt sind, zu untersuchen.
Die Aussagekraft dieser Post-Hoc-Analyse unterliegt mehreren Einschränkungen. Der Studienzeitraum begann vor ca. 8 Jahren, und eine Verbesserung der Messqualität der Systeme im Laufe der Zeit kann nicht ausgeschlossen werden. In dieser Analyse wurden nur solche Messergebnisse verwendet, die die Herstellervorgaben erfüllten. Es kann daher nicht ausgeschlossen werden, dass einzelne weitere Messergebnisse bei manchen Systemen außerhalb des vom Hersteller definierten Zielbereichs lagen und somit hier nicht berücksichtigt wurden. Die Anzahl Messergebnisse schwankt stark von System zu System. Einerseits wiegen bei niedrigen Fallzahlen die Effekte einzelner Ausreißer stärker als bei großen Fallzahlen, andererseits kann es hier vorkommen, dass seltene Ausreißer zufällig nicht beobachtet wurden. Wie gezeigt wurde, kann auch die den verwendeten Kontrolllösungen zugewiesene Konzentration die Ergebnisse beeinflussen, allerdings bildeten die Kontrolllösungsniveaus nicht immer vergleichbare Glukosekonzentrationsbereiche ab. Hierfür benötigte Konzentrationen waren teilweise nicht im Handel verfügbar.
Über ein Drittel der untersuchen Blutglukosemesssysteme erfüllte im Beobachtungszeitraum (März 2016 bis Mai 2022) die bisherigen Anforderungen der Rili-BÄK an die interne Qualitätskontrolle nicht. Ein Abgleich mit den Ergebnissen des RfB-Ringversuchs GL1/24 ("Glukose ‚Naßchemie‘ und ‚Trockenchemie‘") zeigt [Referenzinstitut für Bioanalytik 2024], dass mindestens 20 % der hier untersuchten Systeme in der Heilkunde eingesetzt werden. Hinsichtlich der aktualisierten Anforderungen wurden diese nur von 2 der 30 untersuchten Systeme erfüllt. Ein reduzierter Datensatz, bei dem im Schnitt unter 52 Kontrolllösungsbestimmungen eine auffällige vorkommt, lag bei denselben 2 Systemen vollständig innerhalb von ±5 %, während er bei 8 Systemen Messungen mit einer Abweichung von >±11 % enthielt. Die Qualität der meisten untersuchten Systeme (d. h. Messgeräte, Reagenzien und Kontrollmaterial) müsste demnach deutlich verbessert werden, damit sie weiterhin im Rahmen der Heilkunde eingesetzt werden können. Andernfalls ist damit zu rechnen, dass eine Reihe von Blutglukosemesssystemen nicht mehr im Rahmen der Heilkunde eingesetzt werden kann.
Bei manchen Systemen wurde beobachtet, dass die Messgenauigkeit vom verwendeten Kontrolllösungsniveau abhängt. Die Rili-BÄK fordert die Verwendung von Kontrollproben mit mindestens zwei verschiedenen Zielwerten, sofern vorhanden [Bundesärztekammer 2023]. Daher sollte darauf geachtet werden, dass die interne Qualitätskontrolle mit allen verfügbaren Niveaus erfolgt, um eine sichere Nutzung zu gewährleisten. Idealerweise sollten die Systeme über Kontrollproben mit mindestens zwei Konzentrationsniveaus verfügen, wenn sie in der Heilkunde eingesetzt werden sollen.
Folgerungen
Nur ein kleiner Teil der untersuchten Blutglukosemesssysteme mit Unit-Use-Reagenzien erfüllt die aktualisierten Vorgaben der Rili-BÄK an die interne Qualitätskontrolle. Allerdings waren zum Zeitpunkt der Untersuchungen (2016 bis 2022) die aktualisierten Abweichungsgrenzen der Rili-BÄK noch nicht bekannt. Die Qualität einiger Systeme (d. h. Messgeräte, Reagenzien und Kontrollmaterial) müsste gegebenenfalls verbessert werden um nach Ablauf der Übergangsfrist weiterhin in der Heilkunde eingesetzt werden zu können.
- Zwischen 67,2 % und 100 % der Messergebnisse der einzelnen Systeme lagen innerhalb der derzeit noch gültigen Rili-BÄK-Abweichungsgrenze von ±11 % 18 der 30 Systeme, also 60 %, lagen zu 100 % innerhalb der Abweichungsgrenzen
- Bei der aktualisierten Abweichungsgrenze von ±5 % war das nur bei 2 Systemen (7 %) der Fall Der Anteil der Messergebnisse innerhalb dieser Abweichungsgrenze lag zwischen 13,8 % und 100 %
- Die Verteilung der relativen Abweichungen der Einzelmessergebnisse deutet darauf hin, dass manche der untersuchten Systeme die Glukosekonzentration in Kontrolllösungen systematisch unter- oder überschätzen
- Nur ein kleiner Teil der untersuchten Blutglukosemesssysteme mit Unit-Use-Reagenzien erfüllt die aktualisierten Vorgaben der Rili-BÄK an die interne Qualitätskontrolle
- Im Untersuchungszeitraum (2016 bis 2022) waren allerdings die aktualisierten, engeren Abweichungsgrenzen noch nicht bekannt
- Gegebenenfalls müsste für einen weiteren Einsatz in der Heilkunde die Qualität einiger Systeme (d. h. Messgeräte, Reagenzien und Kontrollmaterial) verbessert werden
|
|
Erschienen in: Diabetes, Stoffwechsel und Herz, 2024; 33 (3) Seite 133-139
